JSCE Award 2015
|

|
|
JSCE has presented awards to researchers who have made great achievements in the concrete field, published excellent papers, or proposed outstanding research projects.
Paper Award Incentive Award
|
More Story..
|
Yoshida Award 2015
|
|
|
Yoshida Award was founded to honor the outstanding professional achievements and contributions of Dr. Tokujiro Yoshida to the establishment of concrete technology in Japan.
For Research Accomplishment For Research Paper For Research Encouragement
|
More Story..
|
Seminar Report
JSCE - VCA Joint Seminar 2015
|
|
The Seminar on Lifecycle Management for Infrastructure
- Utilization of Chemical and By-product Admixtures for Concrete Structures -
was held April 16 & 17, 2015 in Water Resources University, Hanoi, Vietnam
|
More Story..
|
Seminar Report
The 2nd SIP International Seminar
|
 |
|
The 2nd SIP International Seminar on Infrastructure Asset Management
"Present and Future Road Infrastructure Maintenance in Vietnam and Japan"
was held at National University of Civil Engineering (NUCE), Hanoi, Vietnam on 17th March, 2015
You can wach the presentations at
the SIP project web site
|
More Story..
|
|
Abstract; Research Paper Award
Non-Destructive Evaluation Methods for Grouting Condition in Tendon Ducts in Existing Prestressed Concrete Bridges
T.Kamada, S.Uchida, H.Tsunoda and K.Sato
|
 |
|
This study describes two nondestructive methods for evaluating the grouting in the tendon duct joints of prestressed concrete bridges: the impact- elastic wave method and the electromagnetic pulse method.
|
More Story..
|
Abstract; Incentive Award
Establishment of Coupled Analysis of Interaction between Structural Deterioration and Reinforcement Corrosion by Salt Damage
M.Suzuki
|

|
|
A coupled analysis of the interaction between structural deterioration and reinforcement corrosion by salt damage is developed. |
More Story..
|
Dedicated Website for JSCE Design Specifications
Introduction articel on new evaluation mesthod is updated
|
 |
|
New method of calculation of long-term deflection in JSCE Standards Specification 2014 is introduced.
|
More Story..
|
History of Concrete Technology in Japan
|
 |
|
JSCE was founded in 1914 and development of concrete technologies in Japan also began about 100 years ago.
|
More Story..
|
|
Abstract; Yoshida Award for Research Paper
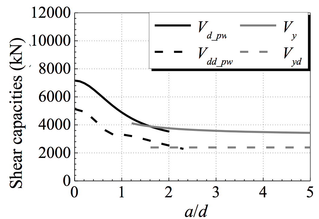
Method for Calculating the Design Shear Capacity of Reinforced Concrete Beams to Ensure Continuity in the Shear-Span-to-Effective-Depth Ratio
Y.Nakata, K.Watanabe, T.Watanabe and Y.Tanimura
|
 |
|
The two shear capacity formulas are used in JSCE standard specification. One is for a/d >= 2.0 and the other is for a/d < 2.0. However, the connection of them shows a significant gap at a/d = 2.0. The method to ensure continuity in the design shear capacity to a/d is proposed.
|
More Story..
|
A Content Example of "Japan's Concrete Technology"
|
 |
100-Year Durability Tests of Concrete at OTARU Port in Chapter 2 (Materials Construction) is fully introduced. Some of book contents will be introduced in the newsletter. The book information is available to click here.
|
More Story..
|
Publication Information
|
|
The latest English versions of JSCE Standard Specifications for
Concrete Structures are available for free download.
|
More Story..
|
Conference Information
|
CONMAT'15(Aug. 19-21, 2015)
The Fifth International Conference on Construction Materials: Performance, Innovations and Structural Implications, Whistler, CANADA
http://conmat15.ic-impacts.com/
|
IOS 2016
International Symposium on Concrete and Structures for Next Generation "Ikeda & Otsuki Symposium (May. 16-18, 2016, Tokyo, Japan)
http://maintenance.cv.titech.ac.jp/ english/ios2016/detail_95.html
|
fib PhD Symposium
The Eleventh fib International PhD Symposium in Civil Engineering (Aug. 29-31, 2016, Tokyo, Japan)
http://concrete.t.u-tokyo.ac.jp/ fib_PhD2016/
|
IALCCE'16
The Fifth International Symposium on Life-Cycle Civil Engineering (Oct. 16-19, 2016, Delft, The Netherlands)
http://ialcce2016.org
|
IIIAE'16
The eighth International Conference on Acoustic Emission (Dec. 05-08, 2016, Kyoto, Japan)
http://iiiae.org/iiiae2016/index.html
|
|